Your Council
Your Council
Agendas and Minutes
Meeting Dates
Councillors
Clerk
Policies
Parish Council Map
Budgets and Finances
Freedom of Information
Accessibility
Asset Register
Insurance
Your Area
Your Area
District and County Councillors
Police, Crime and Anti-Social Behaviour
Services and Facilities
Services and Facilities
Play Parks
Allotments
The Ball Park
Clothing Bin
Other Service Providers
Planning
Planning
Planning Applications
Neighbourhood Plan
Notice Board
Notice Board
RAF Hemswell Day
Contact Us
Contact Us
Sign up for news and information
Facebook
Problem Reporting
Hemswell Cliff Parish Council
Optional email code
Your Council
Your Council
Agendas and Minutes
Meeting Dates
Councillors
Clerk
Policies
Parish Council Map
Budgets and Finances
Freedom of Information
Accessibility
Asset Register
Insurance
Your Area
Your Area
District and County Councillors
Police, Crime and Anti-Social Behaviour
Services and Facilities
Services and Facilities
Play Parks
Allotments
The Ball Park
Clothing Bin
Other Service Providers
Planning
Planning
Planning Applications
Neighbourhood Plan
Notice Board
Notice Board
RAF Hemswell Day
Contact Us
Contact Us
Sign up for news and information
Facebook
Problem Reporting
Home
/
Your Council
/
Budgets and Finances
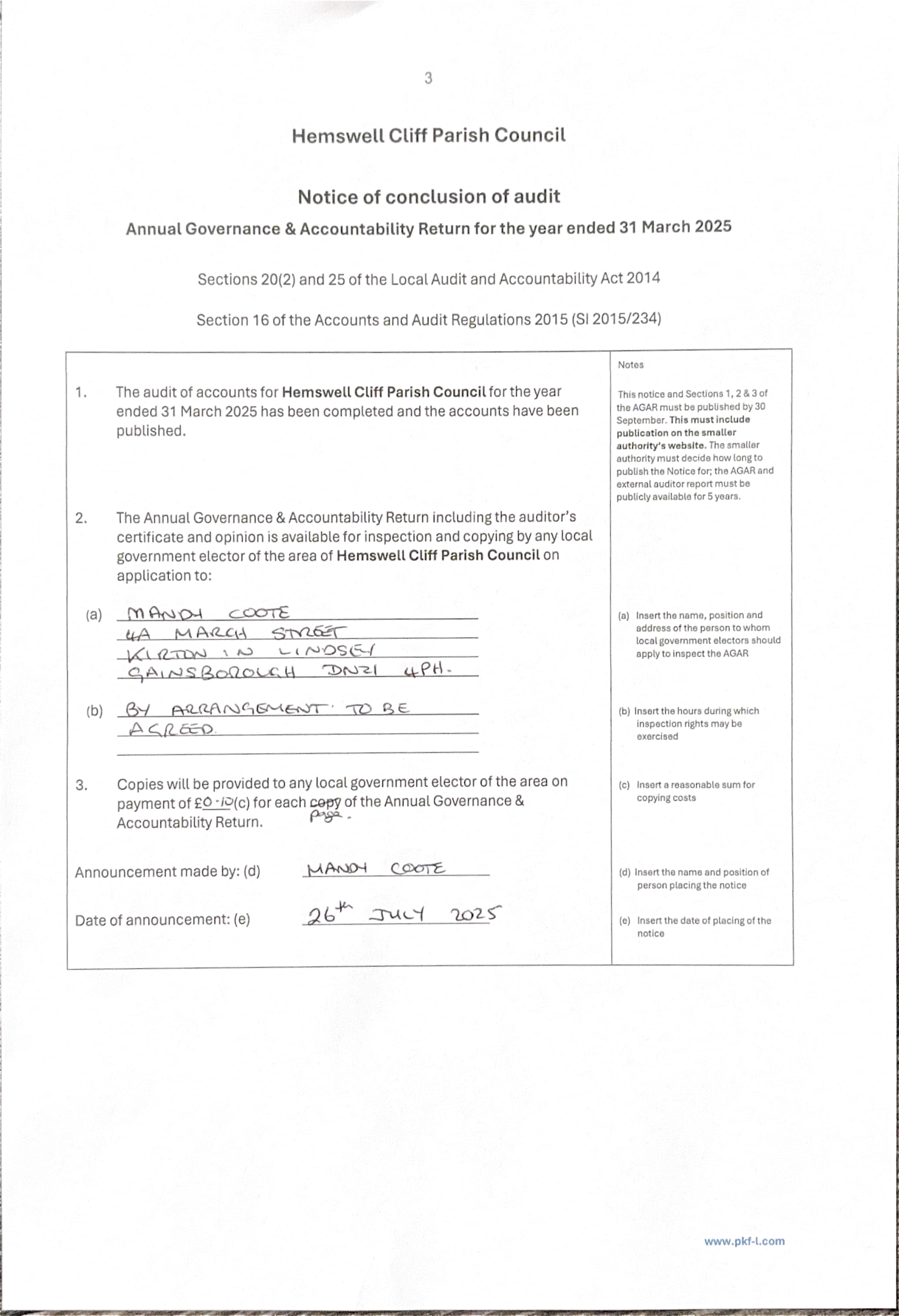
Annual Return 2024-25
Do you like this page?
Tweet